
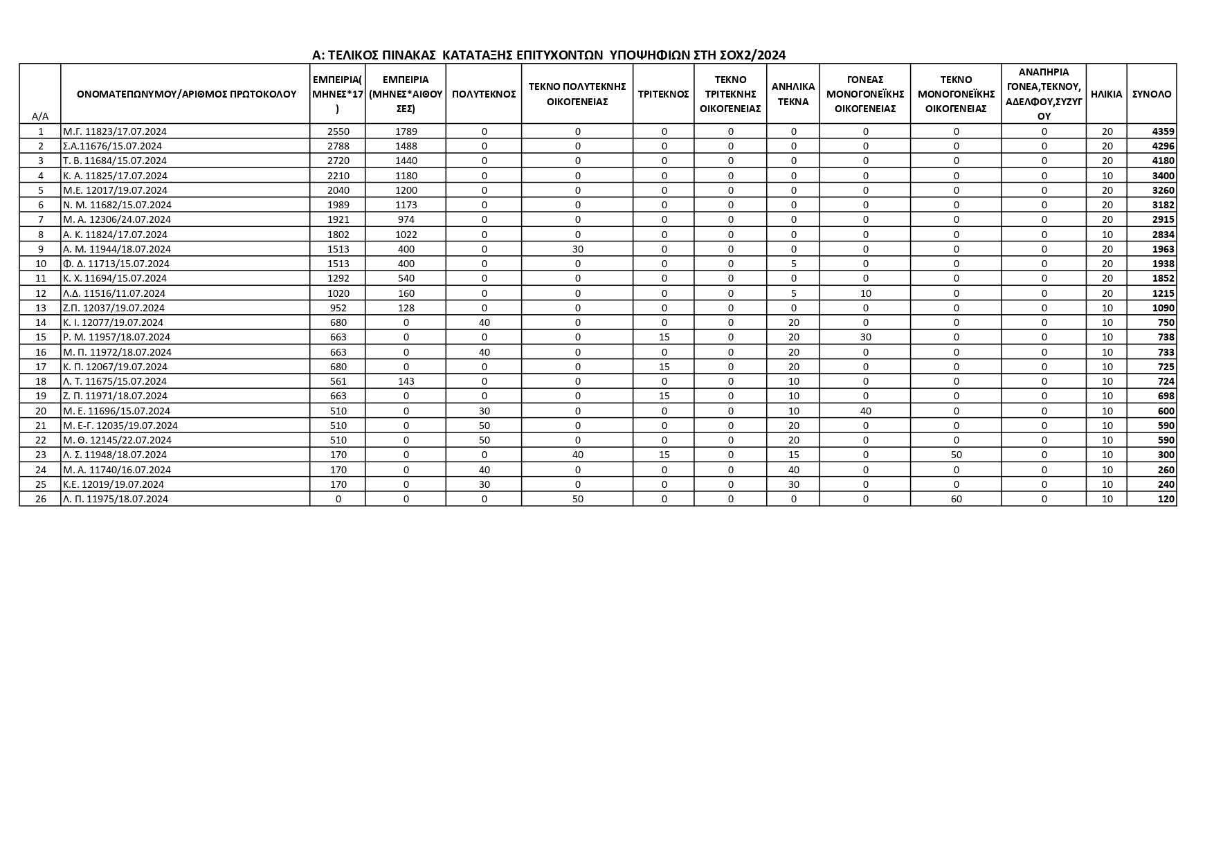
Πρακτικό επιλογής προσωπικού-μουσικών με σύμβαση εργασίας ιδιωτικού δικαίου ορισμένου χρόνου
Πρακτικό επιλογής προσωπικού-μουσικών με σύμβαση εργασίας ιδιωτικού δικαίου ορισμένου χρόνου(ωρομίσθιοι) με κάλυψη της δαπάνης υπό τη μορφή αντιτίμου (άρθρο 12 παρ.14 του ν.4071/2012) διάρκειαςέως οκτώ (8) μήνες περιόδου 2024 –…
















